提 要 建立了基于径流形成机理的以时段降水量与前期径流量为预报因子的前向多层人工神经网络径流预报模型;分析了网络结构对月径流预报精度的影响,发现随网络结构的复杂化,网络训练误差减小,模型评定的确定性系数增大,并均趋于稳定,预报检验的确定性系数总趋势是减小;发现影响模型精度的决定因素是网络输入单元数,亦即径流影响因素;提出了以模型评定与预报检验共同高效或等效的模型选择的折衷方法,以及按模型适宜预报域进行多模型组合预报的最佳预报域组合法。
关键词 人工神经网络 径流预报 网络结构影响 确定性系数 最佳预报域组合法
分 类 中图法 P333.9
人工神经网络 (ANN) 已被用于降雨径流模拟、河川径流预报、水质参数预报,以及水库调度决策等方面[1~6],特别是在径流模拟与预报中,显示出比时间序列等方法更为有效的特点[1~4]。但当前 ANN 在水文预报中主要用于短期径流预报(洪水预报或日径流预报),如何将其用于中长期预报还是个待研究的问题。同时,ANN 因其高深莫测的非线性特点及其复杂的计算方法,往往使人们望而生畏或在应用中盲目套用,造成 ANN 应用上的局限性。本文旨在通过建立基于径流形成机理的前向多层 ANN 径流预报模型,并经大量计算来揭示 ANN 结构对径流预报精度的影响及其变化规律,从径流形成概念及预报的可靠性提出中长期(以月为例)径流预报中选择 ANN 模型的方法。
1 理论与方法
1.1 前向多层 ANN
图 1 所示是一个典型的前向三层(输入层、输出层和一个隐含层)ANN 结构示意图。图中,输入层由 n 个单元(神经元或节点组成),xi(i=1,2,…,n) 表示其输入亦即该层的输出;隐含层由 p 个单元组成,输出层由 q 个单元组成,yk(k=1,2,…,q) 表示其输出,用ωhij(i=1,2,…,n;j=1,2,…,p) 表示从输入层到隐含层的连接权;用ωojk(j=1,2,…,p;k=1,2,…,q) 表示从隐含层到输出层的连接权。一般地,一个 ANN 若有 m 个隐合层,且每个隐含层均由 p 个单元组成,则可将其表示为 ANN(n,m,p,q)。在图 1 所示的 ANN 中,用 Zhj 表示隐含层的输出,则其算式为:
式中,f(sj) 是表示生物神经元特性的 S 函数(Sigmoid 函数),亦称响应函数或激活函数;sj 是 j 单元的输入;θj 是阈值。对于输出层,式 (1) 中的 i→j=1,2,…,p;j→k=1,2,…,q。当隐含层为 m 层时,式 (1) 中的 h=1,2,…,m,且当 h>1 时,i=1,2,…,p。
![]() |
图 1 典型的前向三层人工神经网络示意图
Fig.1 Atypical three-layer reed-forward artificial neural network
1.2 ANN训练及预报准则
当给定一个学习 ( 输入 ) 模式即径流序列 xt(t=1,2,…,N),并给定 ANN 结构,即可用适当的算法对 ANN 进行训练,使其输出与实际输出 yt 之间的误差能量和(简称误差)
小于等于一限定值 E0,即 E≤E0,则训练结束,相应的 ANN 及其参数便构成所求问题的 ANN 模型。
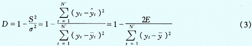
显然,E 是一个绝对量,不同序列其值不同(即使是标准化或规格化序列也如此),很难确定一个恰当的 E0 来对其进行控制,因此,应采用与 E 有关的相对量作为判别网络训练效果及模型优劣的标准。考虑到水文预报中衡量模型或预报方案有效性的传统,采用确定性系数作为模型评定与预报检验的标准。确定性系数的算式为:
![]() |
式中,S2 和σ2 分别表示预报序列的误差的方差和实测序列 yt 的方差;表示实测序列的均值;D 表示确定性系数,对于模型评定,用 Dc 表示,对于预报检验,用 Dv 表示;N′表示预报序列长,对于模型评定 N′=N,对于预报检验,N′指用于预报检验的序列长。
2 建模与预报
2.1 模型的建立
根据径流形成机理,预报时段 t 内的径流量主要由该时段内的降水量产生,并受前期降水量影响。对于 t 内的降水量,用面平均值 Pt。前期降水量的影响是复杂的,但最终是以前期降水入渗形成的地下径流的排泄而增加 t 内径流量的。因此,可将 ANN 的输入写为:
x t=f(P t,Q t-1,Q t-2,…,Q t-τ)
式中,Q 表示时段平均流量 (m3s-1),τ表示前期降水量对 Qt 的影响时段数。此时,用式 (2) 计算 E 或用式 (3) 计算 Dc 时,t=τ+1~N。
本文的建模数据即 ANN 训练数据,以秦岭北麓渭河支流黑河的黑峪口水文站(控制面积 1481km)1970~1981 年共 12 年的月平均流量和流域平均月降水量(算术平均值)为例,并用 1982~1986 年共 5 年数据对模型进行预报检验。
对 ANN 的训练(建模)用逆向误差传播算法(BP 算法),网络结构取 ANN(1,1,1,1)~ANN(13,2,15,1),并统一用 T=5000 作为网络训练次数控制,以 E、Dc 和 Dv 作为输出供影响分析。表 1 给出了部分网络在 T=1000、2000、3000 时的 Dc 和 Dv(E 与 D 有式 (3) 所示的确定关系,故仅讨论 D),可简明地看出网络结构对建模与预报精度的影响。
表 1 ANN结构对确定性系数 D
c 和 D
v 影响的简明对照
Table 1 A brief comparison of the effect of ANN structures with different training times on the deterministic coefficients, D
c and D
v
| 序号 | ANN(n,m,p,q) | T=1000 | T=3000 | T=5000 | |||
|---|---|---|---|---|---|---|---|
| Dc | Dv | Dc | Dv | Dc | Dv | ||
| 1 | ANN(1,1,7,1,) | 0.778 | 0.885 | 0.778 | 0.885 | 0.778 | 0.885 |
| 2 | ANN(7,1,7,1) | 0.864 | 0.857 | 0.879 | 0.828 | 0.903 | 0.750 |
| 3 | ANN(10,1,7,1) | 0.865 | 0.847 | 0.885 | 0.809 | 0.912 | 0.705 |
| 4 | ANN(7,1,5,1) | 0.864 | 0.857 | 0.890 | 0.785 | 0.912 | 0.719 |
| 5 | ANN(7,1,10,1) | 0.861 | 0.852 | 0.871 | 0.835 | 0.891 | 0.775 |
| 6 | ANN(7,2,5,1) | 0.873 | 0.786 | 0.930 | 0.589 | 0.940 | 0.558 |
| 7 | ANN(7,2,10,1) | 0.882 | 0.753 | 0.982 | 0.547 | 0.937 | 0.512 |
| 8 | ANN(13,1,15,1) | 0.888 | 0.639 | 0.922 | 0.586 | 0.943 | 0.588 |
| 9 | ANN(13,2,15,1) | 0.759 | 0.827 | 0.806 | 0.774 | 0.830 | 0.661 |
注:①1~3 构成 n 对 Dc 和 Dv 影响 0 的简单对比;②4+6,5+7 和 8+9 分别构成 m 影响的简单对比;③4~5 和 6~7 构成 p 影响的简单对比;④T=1000、2000、3000 分别构成训练次数影响的简单对比。
2.2 模型评定与检验
经按上述方法对网络进行训练,并进行模型评定与检验,结果显示,在所有受训练的网络中,当 m=1,且训练达到基本稳定 (T≥1000) 后,Dc 在 0.758~0.943 之间变化,均属甲等或乙等;Dv 在 0.353~0.914 之间变化,以甲、乙等为主,部分为丙等。当 m=2 时,随着 T 的增大,Dc 普遍增加,最终趋于稳定(变化原因分析于后)。
3 影响分析
3.1 ANN结构的影响
3.1.1 输入层单元数的影响
输入层的单元数 n 决定着参与建模的前期影响因子 (Qt~τ) 的多少,涉及的是径流形成的物理机制。当 n=1(τ=0) 时,相当于直接的降雨径流关系;当 n=7 时,相当于τ=6,表示 t 内的径流量受前期 6 个时段径流量的影响;当 n=13 时,相当于τ=12,表示 t 内的径流量除与其降水量有关外,还与前一年各月的径流量有关,反映着径流年内各月分配上的周期变化影响。
计算显示,当 m 和 p 不变时,随着 n 的增大,Dc 逐渐增大,而且,在 n 较小时,Dc 随 T 的增大很快趋于稳定,此后不再变化。Dv 的变化很复杂,总的趋势是训练次数增加到使训练结果相对稳定后,随着 n 的增大而减小,但在 n 较小时,亦很快趋于固定值而不再变化,而且,随着 T 的增大,可能出现 Dv 一致性减小或波动现象。
3.1.2 隐层及其单元数的影响
隐层数 m 对网络训练结果或模型精度影响较大。计算显示,当 m=1 时,对网络训练的总体水平相对较好,当 m=2 时,在相同的 n 和 p 条件下,当 n 越小时,训练结果同 m=1 时差别不大;在 n 较大时,随着 T 的增大,Dc 的增幅较 m=1 时大,但使 Dv 以较大幅度减小。表 1 所列编号为 4~5 和 6~7 及 8 和 9 的网络分别是这种变化的简单数字对比。
隐层单元数 p 的大小对网络训练结果的影响相对不大,且比较稳定。计算显示,对固定的 n 和 m,在 T 达到一定值后,不同 p 的网络的 Dc 较接近,Dv 则逐渐显示出一定差异。p 的影响可见表 1 中相应的对照。从计算结果看,以 p>5 为宜,且以 p≥n 较为理想,当 p<n 且 p 和 n 均较大时,Dv 显著减小。
3.2 训练次数的影响
前面已经提及,对确定的网络,随着训练次数 T 的增大,Dc 随之增大,且最终趋于稳定;Dv 的变化较为复杂,但总趋势是减小,且趋于稳定。这种现象表明,随着 T 的增大,模型本身的有效性逐渐提高,但其实用性可能因此而降低,即出现评定精度较高的模型导致较差的预报。这是一种“过度训练”现象,实际预报中需要特别注意。
3.3 综合影响
由上可知,ANN 结构及其训练次数共同影响着建模效果。对一定结构的 ANN,因训练次数不同可得到不同预报效果的模型;同样,训练次数一定时,决定网络复杂程度的 n、m 和 p 中任何一个的改变,都可能改变模型预报精度。从图 2 所示的 3 组不同 n 和 p 构成的 ANN 的 Dc 和 Dv 随 T 的变化,可以清楚地看出它们对模型的综合影响。
![]() |
图 2 ANN结构及其训练次数对确定性系数 Dc 和 Dv 的影响 (m=1)
Fig.2 Integral effects of ANN structures and training times on the deterministic coefficients, Dc and Dv (m=1)
4 模型选择方法
大量计算及上述影响分析表明,ANN 结构对径流预报精度的影响强烈而复杂,但其决定性因素还是输入网络的学习模式——时段降水量与前期径流量。因此,在选择预报模型时,首先应从径流形成机理出发,尽可能充分地考虑前期径流对预报时段径流的影响,取适当的τ亦即 n 来构造网络。在此基础上,进一步通过对预报精度的对比选定适宜于研究问题的网络结构,从而建立起比较实用的预报模型,并采用折衷方法,使选择的模型既能具有较高的模型评定精度,又有较高的预报检验精度。这样才能提高选择的模型在实用上的可靠性。
另一方面,由于不同 ANN 模型的有效预报域不尽相同,有的适宜于高值域,有的适宜于低值域,因此,为了提高预报效果,提出“最佳预报域组合法”,即采用 2 个以上能较好预报不同值域如丰、平、枯径流的 ANN 组成预报模型系,以提高径流预报的精度。
5 结论
通过本文研究,得出以下几点结论:
(1) 人工神经网络具有复杂的非线性特性,对同一径流预报问题,能有效地构造出许多网络,获得众多径流预报模型。在一定的网络结构范围内,通过适当的网络训练可获得较多精度上等效的模型,实用上的选择余地较大。
(2) 网络结构对预报精度影响很大,其中表征径流形成机理的输入层单元数是关键影响因素,实用上必须使模型建立在坚实的径流形成机理基础上。
(3) 在适当的范围内,网络结构越复杂、训练次数越多,建模效果越好,但预报效果降低,实用上应同时兼顾二者,以提高预报的可靠性。
(4) 不同结构或相同结构不同训练次数得到的模型,可能存在有效预报值域上的差异,应用上应采用“最佳预报域组合法”将适宜于不同预报域的模型组成模型系,以提高预报精度。
参考文献

|
高中各年级课程推荐
|
||||
|
年级
|
学期
|
课程名称
|
课程试听
|
|
| 高一 |
高一(上)、(下)同步复习
|
语文 | ||
| 英语 | ||||
| 数学 | ||||
| 数学(期中串讲) | ||||
| 数学(期末串讲) | ||||
| 数学拔高 | ||||
| 物理 | ||||
| 化学 | ||||
| 生物(一) | ||||
| 地理 | ||||
| 历史 | ||||
| 政治 | ||||
|
高中专项突破课
|
语文写作 | |||
| 英语阅读理解 | ||||
| 英语写作 | ||||
| 英语完形填空 | ||||
| 物理功和能量 | ||||
| 高二 |
高二(上)、(下)同步复习
|
语文 | ||
| 英语 | ||||
| 数学(理) | ||||
| 数学拔高(理) | ||||
| 数学(文) | ||||
| 数学拔高(文) | ||||
| 物理 | ||||
| 数学(期中串讲) | ||||
| 数学(期末串讲)(理) | ||||
| 数学(期末串讲)(文) | ||||
| 化学 | ||||
| 生物(一) | ||||
| 生物(二) | ||||
| 生物(三) | ||||
| 地理 | ||||
| 历史 | ||||
| 政治 | ||||
| 高三 |
高考第一轮复习
|
语文 | ||
| 英语 | ||||
| 数学(理) | ||||
| 数学拔高(理) | ||||
| 数学(文) | ||||
| 数学拔高(文) | ||||
| 物理 | ||||
| 物理拔高 | ||||
| 化学 | ||||
| 生物 | ||||
| 地理 | ||||
| 政治 | ||||
| 历史(韩校版) | ||||
| 历史(李晓风版) | ||||
|
高考第二轮复习
|
数学(理) | |||
| 数学(文) | ||||
| 英语 | ||||
| 物理 | ||||
| 化学 | ||||
| 地理 | ||||
|
高考第三轮冲刺串讲
|
语数英串讲(理) | |||
| 语数英串讲(文) | ||||
| 物化生串讲 | ||||
| 史地政串讲 | ||||
|
高考试题精讲
|
数学(理) | |||
| 英语 | ||||
| 化学 | ||||
| 物理 | ||||
| 2021高考研究2021高考策略(理) | ||||
| 2021高考研究2021高考策略(文) | ||||
Copyright © 2005-2020 Ttshopping.Net. All Rights Reserved . |
云南省公安厅:53010303502006 滇ICP备16003680号-9
本网大部分资源来源于会员上传,除本网组织的资源外,版权归原作者所有,如有侵犯版权,请立刻和本网联系并提供证据,本网将在三个工作日内改正。

